| Главная » Файлы » ИДЗ Рябушко » Идз 10.2 |
Идз 10.2 Вариант №4
| 05.10.2012, 08:47 | |
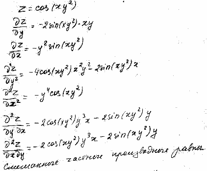
Полное решение ИДЗ 10.2 вариант 4 на сайте рябушко.рф
| |
| Просмотров: 6708 | Загрузок: 0 | | |
| Всего комментариев: 0 | |
| Главная » Файлы » ИДЗ Рябушко » Идз 10.2 |
| 05.10.2012, 08:47 | |
Полное решение ИДЗ 10.2 вариант 4 на сайте рябушко.рф
| |
| Просмотров: 6708 | Загрузок: 0 | | |
| Всего комментариев: 0 | |