| Главная » Файлы » ИДЗ Рябушко » Идз 10.2 |
Идз 10.2 Вариант №16
| 09.10.2012, 13:46 | |
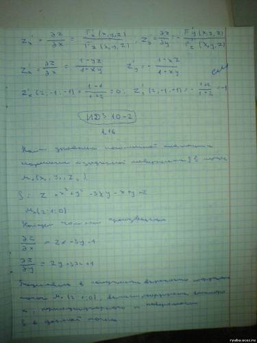
Полное решение ИДЗ 10.2 вариант 16 на сайте рябушко.рф
| |
| Просмотров: 6823 | Загрузок: 0 | Комментарии: 3 | | |
| Всего комментариев: 0 | |
| Главная » Файлы » ИДЗ Рябушко » Идз 10.2 |
| 09.10.2012, 13:46 | |
Полное решение ИДЗ 10.2 вариант 16 на сайте рябушко.рф
| |
| Просмотров: 6823 | Загрузок: 0 | Комментарии: 3 | | |
| Всего комментариев: 0 | |