| Главная » Файлы » ИДЗ Рябушко » Идз 10.1 |
Идз 10.1 Вариант №28
| 05.10.2012, 08:44 | |
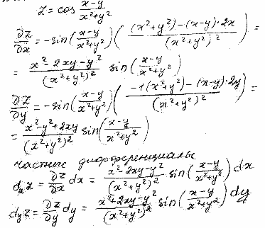
Полное решение ИДЗ 10.1 вариант 28 на сайте рябушко.рф
| |
| Просмотров: 2591 | Загрузок: 0 | | |
| Всего комментариев: 0 | |
| Главная » Файлы » ИДЗ Рябушко » Идз 10.1 |
| 05.10.2012, 08:44 | |
Полное решение ИДЗ 10.1 вариант 28 на сайте рябушко.рф
| |
| Просмотров: 2591 | Загрузок: 0 | | |
| Всего комментариев: 0 | |